What Is The Radius Of A Long Radius Elbow . Web a long radius (lr) elbow is an elbow with a larger radius of curvature compared to a short radius (sr) elbow. Web the long radius elbow has a large bending radius (r radius), and the wear during use is smaller than that of the short radius. Web a long radius elbow, as the name implies, has a longer radius compared to its short radius counterpart. Web short radius elbows typically have a radius that is equal to the nominal pipe size (nps), while long radius elbows have a larger radius, usually 1.5 times the nps. Web 70 rows long radius elbows are more commonly used compared to. 90 degree short radius alloy 800 seamless elbows. The difference in radius impacts the flow characteristics within the piping system. Web a long radius elbow has a curvature radius equivalent to 1.5 times the outer diameter of the pipe, denoted as.
from es.scribd.com
Web short radius elbows typically have a radius that is equal to the nominal pipe size (nps), while long radius elbows have a larger radius, usually 1.5 times the nps. 90 degree short radius alloy 800 seamless elbows. Web a long radius elbow has a curvature radius equivalent to 1.5 times the outer diameter of the pipe, denoted as. The difference in radius impacts the flow characteristics within the piping system. Web a long radius elbow, as the name implies, has a longer radius compared to its short radius counterpart. Web a long radius (lr) elbow is an elbow with a larger radius of curvature compared to a short radius (sr) elbow. Web 70 rows long radius elbows are more commonly used compared to. Web the long radius elbow has a large bending radius (r radius), and the wear during use is smaller than that of the short radius.
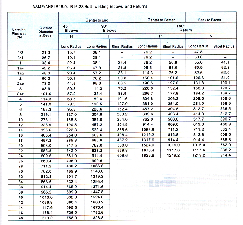
Dimensions and Dimensional Tolerances of Long Radius Elbows 45 and 90
What Is The Radius Of A Long Radius Elbow Web 70 rows long radius elbows are more commonly used compared to. Web a long radius elbow has a curvature radius equivalent to 1.5 times the outer diameter of the pipe, denoted as. 90 degree short radius alloy 800 seamless elbows. Web 70 rows long radius elbows are more commonly used compared to. Web a long radius elbow, as the name implies, has a longer radius compared to its short radius counterpart. Web a long radius (lr) elbow is an elbow with a larger radius of curvature compared to a short radius (sr) elbow. Web the long radius elbow has a large bending radius (r radius), and the wear during use is smaller than that of the short radius. Web short radius elbows typically have a radius that is equal to the nominal pipe size (nps), while long radius elbows have a larger radius, usually 1.5 times the nps. The difference in radius impacts the flow characteristics within the piping system.
From www.hiseamarine.com
90 Degree Long Radius Elbows Supplier, China Pipe Elbows Manufacturer What Is The Radius Of A Long Radius Elbow Web a long radius elbow has a curvature radius equivalent to 1.5 times the outer diameter of the pipe, denoted as. Web a long radius elbow, as the name implies, has a longer radius compared to its short radius counterpart. Web a long radius (lr) elbow is an elbow with a larger radius of curvature compared to a short radius. What Is The Radius Of A Long Radius Elbow.
From www.unitedforgeind.com
The Advantages of Using Long Radius Elbows for Your Piping Needs What Is The Radius Of A Long Radius Elbow Web 70 rows long radius elbows are more commonly used compared to. Web a long radius elbow has a curvature radius equivalent to 1.5 times the outer diameter of the pipe, denoted as. Web a long radius elbow, as the name implies, has a longer radius compared to its short radius counterpart. The difference in radius impacts the flow characteristics. What Is The Radius Of A Long Radius Elbow.
From bhaviktubes.com
Stainless Steel Long Radius Elbow Manufacturer Bhavik Tubes Corporation What Is The Radius Of A Long Radius Elbow Web a long radius elbow, as the name implies, has a longer radius compared to its short radius counterpart. Web a long radius elbow has a curvature radius equivalent to 1.5 times the outer diameter of the pipe, denoted as. Web the long radius elbow has a large bending radius (r radius), and the wear during use is smaller than. What Is The Radius Of A Long Radius Elbow.
From mavink.com
Long Radius Pipe Elbow Dimensions What Is The Radius Of A Long Radius Elbow Web the long radius elbow has a large bending radius (r radius), and the wear during use is smaller than that of the short radius. Web short radius elbows typically have a radius that is equal to the nominal pipe size (nps), while long radius elbows have a larger radius, usually 1.5 times the nps. Web a long radius elbow,. What Is The Radius Of A Long Radius Elbow.
From www.thomaspotter.com
90 Degree Elbow from Thomas Potter Ltd What Is The Radius Of A Long Radius Elbow 90 degree short radius alloy 800 seamless elbows. Web 70 rows long radius elbows are more commonly used compared to. Web a long radius elbow, as the name implies, has a longer radius compared to its short radius counterpart. Web a long radius elbow has a curvature radius equivalent to 1.5 times the outer diameter of the pipe, denoted as.. What Is The Radius Of A Long Radius Elbow.
From shopee.ph
PVC ELBOW long radius 3/4" orange Shopee Philippines What Is The Radius Of A Long Radius Elbow Web a long radius elbow has a curvature radius equivalent to 1.5 times the outer diameter of the pipe, denoted as. Web a long radius elbow, as the name implies, has a longer radius compared to its short radius counterpart. The difference in radius impacts the flow characteristics within the piping system. Web a long radius (lr) elbow is an. What Is The Radius Of A Long Radius Elbow.
From www.metline-pipefittings.in
Stainless Steel Long Radius 1.5D Elbow Manufacturers, 90°, 45° LR Elbow What Is The Radius Of A Long Radius Elbow The difference in radius impacts the flow characteristics within the piping system. 90 degree short radius alloy 800 seamless elbows. Web a long radius elbow has a curvature radius equivalent to 1.5 times the outer diameter of the pipe, denoted as. Web a long radius (lr) elbow is an elbow with a larger radius of curvature compared to a short. What Is The Radius Of A Long Radius Elbow.
From www.allprosperity.com.tw
3a2s 90 Deg. Elbow Long Radius All Prosperity Enterprise Co.,Ltd. What Is The Radius Of A Long Radius Elbow Web 70 rows long radius elbows are more commonly used compared to. Web the long radius elbow has a large bending radius (r radius), and the wear during use is smaller than that of the short radius. Web a long radius elbow has a curvature radius equivalent to 1.5 times the outer diameter of the pipe, denoted as. Web short. What Is The Radius Of A Long Radius Elbow.
From www.nordfab.com
Flanged Long Radius Elbow 12 gauge Products Nordfab Ducting What Is The Radius Of A Long Radius Elbow Web a long radius elbow has a curvature radius equivalent to 1.5 times the outer diameter of the pipe, denoted as. Web the long radius elbow has a large bending radius (r radius), and the wear during use is smaller than that of the short radius. Web short radius elbows typically have a radius that is equal to the nominal. What Is The Radius Of A Long Radius Elbow.
From www.indiamart.com
Long Radius 4 inch Stainless Steel Buttweld Elbow, For Structure Pipe What Is The Radius Of A Long Radius Elbow Web 70 rows long radius elbows are more commonly used compared to. Web a long radius elbow, as the name implies, has a longer radius compared to its short radius counterpart. Web short radius elbows typically have a radius that is equal to the nominal pipe size (nps), while long radius elbows have a larger radius, usually 1.5 times the. What Is The Radius Of A Long Radius Elbow.
From www.nero.co.uk
Long Radius Elbow 90° Sch 10s 316/L Stainless Steel NERO Pipeline What Is The Radius Of A Long Radius Elbow The difference in radius impacts the flow characteristics within the piping system. Web a long radius (lr) elbow is an elbow with a larger radius of curvature compared to a short radius (sr) elbow. Web the long radius elbow has a large bending radius (r radius), and the wear during use is smaller than that of the short radius. Web. What Is The Radius Of A Long Radius Elbow.
From bceweb.org
Short Radius Elbow Chart A Visual Reference of Charts Chart Master What Is The Radius Of A Long Radius Elbow Web short radius elbows typically have a radius that is equal to the nominal pipe size (nps), while long radius elbows have a larger radius, usually 1.5 times the nps. The difference in radius impacts the flow characteristics within the piping system. 90 degree short radius alloy 800 seamless elbows. Web a long radius elbow has a curvature radius equivalent. What Is The Radius Of A Long Radius Elbow.
From mavink.com
Pvc Elbow Radius Chart What Is The Radius Of A Long Radius Elbow The difference in radius impacts the flow characteristics within the piping system. Web 70 rows long radius elbows are more commonly used compared to. Web the long radius elbow has a large bending radius (r radius), and the wear during use is smaller than that of the short radius. Web a long radius elbow has a curvature radius equivalent to. What Is The Radius Of A Long Radius Elbow.
From www.crp.co.uk
Long Radius Elbows Lined Piping, ASME Fittings What Is The Radius Of A Long Radius Elbow Web a long radius (lr) elbow is an elbow with a larger radius of curvature compared to a short radius (sr) elbow. Web a long radius elbow, as the name implies, has a longer radius compared to its short radius counterpart. Web short radius elbows typically have a radius that is equal to the nominal pipe size (nps), while long. What Is The Radius Of A Long Radius Elbow.
From inetparts.com
Galvanized Steel Special Radius Conduit Elbows 90 45 Degree What Is The Radius Of A Long Radius Elbow Web short radius elbows typically have a radius that is equal to the nominal pipe size (nps), while long radius elbows have a larger radius, usually 1.5 times the nps. Web 70 rows long radius elbows are more commonly used compared to. Web a long radius elbow has a curvature radius equivalent to 1.5 times the outer diameter of the. What Is The Radius Of A Long Radius Elbow.
From skema.kanopitop.com
Konsep 22+ Long Radius Pipe Elbow Dimensions What Is The Radius Of A Long Radius Elbow Web the long radius elbow has a large bending radius (r radius), and the wear during use is smaller than that of the short radius. Web a long radius elbow has a curvature radius equivalent to 1.5 times the outer diameter of the pipe, denoted as. Web a long radius elbow, as the name implies, has a longer radius compared. What Is The Radius Of A Long Radius Elbow.
From www.elevate.in
PDF) DIMENSIONS OF LONG RADIUS ELBOWS Buttwelding Fittings, 43 OFF What Is The Radius Of A Long Radius Elbow Web a long radius (lr) elbow is an elbow with a larger radius of curvature compared to a short radius (sr) elbow. The difference in radius impacts the flow characteristics within the piping system. Web the long radius elbow has a large bending radius (r radius), and the wear during use is smaller than that of the short radius. Web. What Is The Radius Of A Long Radius Elbow.
From bostonheatingsupply.com
Zoomlock Long Radius Elbows What Is The Radius Of A Long Radius Elbow Web 70 rows long radius elbows are more commonly used compared to. Web short radius elbows typically have a radius that is equal to the nominal pipe size (nps), while long radius elbows have a larger radius, usually 1.5 times the nps. Web a long radius (lr) elbow is an elbow with a larger radius of curvature compared to a. What Is The Radius Of A Long Radius Elbow.